18. Acarbose

Nomenclature

CAS number: 56180-94-0
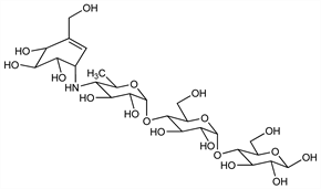
O-4,6-Dideoxy-4-[[(1S,4R,5S,6S)-4,5,6-trihydroxy-3-(hydroxymethyl)-2-cyclohexen-1-yl]amino]-α-d-glucopyranosyl-(1→4)-O-α-d-glucopyranosyl-(1→4)-d-glucose; 4″,6″-dideoxy-4″-[(1S)-(1,4,6/5)-4,5,6-trihydroxy-3-hydroxymethyl-2-cyclohexenylamino]maltotriose; Bayg 5421; Glucobay (Bayer); Prandase (Bayer); Precose (Bayer).
C25H43NO18; mol wt 645.60.
C 46.51%, H 6.71%, N 2.17%, O 44.61%.

Description and references

Pseudotetrasaccharide containing an unsaturated cyclitol moiety. An α-glucosidase inhibitor that reduces sugar absorption in the gastrointestinal tract. Isoln from strains of Actinoplanes: W. Frommer et al., DE 2347782; eidem, US 4062950 (1975, 1977 both to Bayer). Total synthesis: S. Ogawa, Y. Shibata, Chem. Commun. 1988, 605; eidem, Carbohydr. Res. 189, 309 (1989) DOI. Biosynthetic studies: U. Degwert et al., J. Antibiot. 40, 855 (1987) PubMed. Glucosidase inhibition studies: D. D. Schmidt et al., Naturwissenschaften 64, 535 (1977) DOI PubMed; W. Puls et al., ibid. 536. Use in treatment of diabetic adults: D. Sailor, G. Roder, Arzneim.-Forsch. 30, 2182 (1980); H. Laube et al., ibid. 1154. Long-term study in sulfonylurea-treated diabetics: H. Vierhapper et al., Diabetologia 20, 586 (1981). Potential use in prophylaxis of dental caries: N. E. Fiehn, D. Moe, Scand. J. Dent. Res. 90, 124 (1982) PubMed. Review of pharmacodynamics, pharmacokinetics and therapeutic potential: S. P. Clissold, C. Edwards, Drugs 35, 214-243 (1988); of cardiovascular benefits in type 2 diabetes: U. Zeymer, Int. J. Cardiol.107, 11-20 (2006) DOI PubMed.

Chemical structure

Properties

White to off-white powder. [α]D18 +165° (c = 0.4 in water). Sol in water. pKa 5.1.

Therapeutic Category

Antidiabetic.

Therapeutic Category (Veterinary)

Antidiabetic.

Keywords

Antidiabetic; α-Glucosidase Inhibitor