107. Acid Fuchsin

Nomenclature

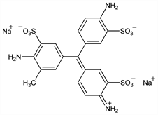
CAS number: 3244-88-0
2-Amino-5-[(4-amino-3-sulfophenyl)(4-imino-3-sulfo-2,5-cyclohexadien-1-ylidene)methyl]-3-methylbenzenesulfonic acid sodium salt (1:2); C.I. Acid Violet 19; 2-amino-α5-(4-amino-3-sulfophenyl)-α5-(4-imino-3-sulfo-2,5-cyclohexadien-1-ylidene)-3,5-xylenesulfonic acid disodium salt; acid rubin; fuchsin(e) acid; acid roseine; C.I. 42685.
C20H17N3Na2O9S3; mol wt 585.54.
C 41.02%, H 2.93%, N 7.18%, Na 7.85%, O 24.59%, S 16.43%.

Description and references

The trisulfonated derivative of rosanilin, or pararosanilin. See: Colour Index vol. 4 (3rd ed., 1971) p 4399. Use as stain: P. W. Benoit, Stain Technol. 48, 177 (1973) PubMed; E. Hals, Scand. J. Dent. Res. 85, 542 (1977) PubMed. Mechanism of action: L. F. Nielsen et al., Biotech. Histochem. 73, 71(1998). Brief review: H. J. Conn's Biological Stains, R. D. Lillie, Ed. (Williams & Wilkins, Baltimore, 9th ed., 1977) pp 285-286.

Chemical structure

Properties

Olive to dark olive-green coarse powder. Absorption max: 540-545 nm (10 mg/l of 0.01% HCl). Very sol in water, very slightly sol to insol in alcohol. Dil aq solns are purplish red. Very dil aq solns (1:10,000) are decolorized by drops of concd aq NaOH solns, but not returned by concd HCl. The decolorized soln neutralized with NaOH is called the Andrade indicator. Changes from red to colorless at pH 12-14.

Use

As pH indicator; biological stain.