115. Aconine

Nomenclature

CAS number: 509-20-6
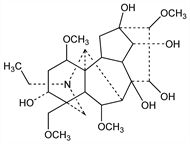
(1α,3α,6α,14α,15α,16β)-20-Ethyl-1,6,16-trimethoxy-4-(methoxymethyl)aconitane-3,8,13,14,15-pentol.
C25H41NO9; mol wt 499.59.
C 60.10%, H 8.27%, N 2.80%, O 28.82%.

Description and references

Obtained by hydrolysis of aconitine: Schulze, Arch. Pharm. 244, 165 (1906); Schneider, Ber. 89, 768 (1956). Structure: Schneider, Tausend, Ann. 628, 114 (1959); McCaldin, Marion, Can. J. Chem. 37, 1071 (1959).

Chemical structure

Properties

Amorphous powder, mp 132°. Bitter taste. [α]D +23°. pK 9.52. Absorption spectrum: Nath, J. Indian Chem. Soc. 32, 75 (1955). Very sol in water, alcohol; moderately sol in chloroform; slightly sol in benzene. Practically insol in ether, petr ether.

Derivative

Hydrochloride dihydrate.
C25H42ClNO9.2H2O; mol wt 572.09.
C 52.49%, H 8.10%, Cl 6.20%, N 2.45%, O 30.76%.

Properties

Crystals, mp 175-176°. [α]D 8°.

Derivative

Hydrobromide sesquihydrate.
C25H42BrNO9.1H2O; mol wt 589.51.
C 50.94%, H 7.35%, Br 13.55%, N 2.38%, O 25.78%.

Properties

Crystals from water, mp 225°.