123. Acriflavine

Nomenclature

CAS number: 8048-52-0
3,6-Diamino-10-methylacridinium chloride mixt with 3,6-acridinediamine; neutral acriflavine; euflavine; trypaflavine; neutroflavine; gonacrine.

Description and references

Contains 30-40% unmethylated compd. Prepn: L. Benda, Ber. 45, 1787 (1912); M. Gaillot, Q. J. Pharm. Pharmacol. 7, 63 (1934); J. Marshall, ibid. 514. Activity studies: C. H. Browning, W. Gilmour, J. Pathol. Bacteriol. 18, 144 (1913); C. H. Browning et al., Br. Med. J. 1, 73 (1917); H. Berry, Q. J. Pharm. Pharmacol. 14, 149 (1941); H. McIlwain, Biochem. J. 35, 1311 (1941). Toxicology: J. Ungar et al., J. Pharmacol. Exp. Ther. 80, 217 (1944). Reviews: A. Adrien, The Acridines (St. Martin's Press, New York, 2nd ed., 1966); R. M. Acheson, Acridines (Interscience, New York, 2nd ed., 1973).

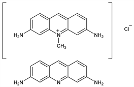
Chemical structure

Properties

Deep orange, granular powder. One gram dissolves in about 3 ml water. Incompletely sol in alcohol; nearly insol in ether, chloroform, fixed oils. Aqueous solns are reddish orange and fluoresce on dilution. pH (1% soln) ≈3.5.

Derivative

Dihydrochloride.

Nomenclature

CAS number: 8063-24-9
Acid acriflavine; acid trypaflavine; acriflavine hydrochloride; Panflavin (Chinosolfabrik).

Properties

Deep reddish-brown, crystalline powder. pH (1% soln) ≈1.5.

Therapeutic Category

Anti-infective.

Therapeutic Category (Veterinary)

Antiseptic; locally in wounds in trichomoniasis of bulls.

Keywords

Antiseptic/Disinfectant; Dyes