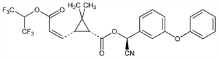
125. Acrinathrin

Nomenclature

CAS number: 101007-06-1
(1R,3S)-2,2-Dimethyl-3-[(1Z)-3-oxo-3-[2,2,2-trifluoro-1-(trifluoromethyl)ethoxy]-1-propen-1-yl]cyclopropanecarboxylic acid (S)-cyano(3-phenoxyphenyl)methyl ester; (S)-α-cyano-3-phenoxybenzyl (1R-cis)-2,2-dimethyl-3-[(Z)-3-oxo-3-[2-(1,1,1,3,3,3-hexafluoropropoxy)]-1-propenyl]cyclopropanecarboxylate; RU-38702; Rufast (AgrEvo).
C26H21F6NO5; mol wt 541.44.
C 57.68%, H 3.91%, F 21.05%, N 2.59%, O 14.77%.

Description and references

Synthetic pyrethroid acaricide. Prepn: J. Martel et al., FR 2486073; eidem, US 4542142 (1982, 1985 both to Roussel-UCLAF); J. R. Tessier et al., in Pesticide Chemistry: Human Welfare and the Environment vol. 1, J. Miyamoto, P. C. Kearney, Eds. (Pergamon Press, Oxford, 1983) pp 95-100. Field trial vs spider mite: B. H. Labanowska, C. Tkaczuk, Fruit Sci. Rep. 18, 185 (1991). Review: J. J. Heller et al., Meded. Fac. Landbouwwet. Univ. Gent 57, 931-939 (1992).

Chemical structure

Properties

mp 82°. [α]D20 +23.5° (c = 0.5% in benzene). LD50 in rats (mg/kg): >5000 orally; >2000 dermally (Heller).

Use

Insecticide.