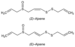
195. Ajoene

Nomenclature

CAS number: 92285-01-3
2-Propenyl 3-(2-propenylsulfinyl)-1-propenyl disulfide; 4,5,9-trithiadodeca-1,6,11-triene 9-oxide.
C9H14OS3; mol wt 234.40.
C 46.12%, H 6.02%, O 6.83%, S 41.04%.

Description and references

Antithrombotic principle found in garlic (Allium sativum L., Liliaceae). Formed from allicin, q.v., in the approximate ratio of 4:1 (E:Z). The (Z)-isomer appears to be more bioactive. Isoln and effect on human platelet aggregation in vitro: R. Apitz-Castro et al., Thromb. Res. 32, 155 (1983). [Note: Structure initially assigned as allyl 1,5-hexadienyltrisulfide.] Structural study, isoln of isomers and synthesis of (E,Z)-form: E. Block et al., J. Am. Chem. Soc. 106, 8295 (1984). Structure determn and structure-activity study: eidem, ibid. 108, 7045 (1986). Synthesis, not claimed: E. Block, S. Ahmad, US 4643994 (1987 to Res. Found. SUNY). Mechanism of antiplatelet activity: R. Apitz-Castro et al., Biochem. Biophys. Res. Commun. 141, 145 (1986). Synergism with other antiplatelet compounds: eidem, Thromb. Res. 42, 303 (1986). In vitro antifungal activity: S. Yoshida et al., Appl. Environ. Microbiol. 53, 615 (1987).

Chemical structure

Derivative

(E)-Form.

Nomenclature

CAS number: 92284-99-6

Properties

Colorless, odorless oil. uv max: 240 nm.