202. Alafosfalin

Nomenclature

CAS number: 60668-24-8
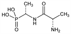
[(1R)-1-[[(2S)-2-Amino-1-oxopropyl]amino]ethyl]phosphonic acid; 1R-1-(l-alanylamino)ethylphosphonic acid; alaphosphin; Ro-3-7008.
C5H13N2O4P; mol wt 196.14.
C 30.62%, H 6.68%, N 14.28%, O 32.63%, P 15.79%.

Description and references

Synthetic phosphonodipeptide with antibacterial activity. Prepn: F. R. Atherton et al., DE 2602193; eidem, US 4016148 (1976, 1977 both to Hoffmann-La Roche); J. G. Allen et al., Nature 272, 56 (1978); F. R. Atherton et al., Antimicrob. Agents Chemother. 15, 677 (1979). Improved process: E. K. Baylis, EP 10872; eidem, US 4331591 (1980, 1982 both to Ciba-Geigy). Separation of diastereoisomers: J. Szewczyk et al., Experientia 38, 983 (1982). Antibacterial spectrum: F. R. Atherton et al., Antimicrob. Agents Chemother. 15, 684 (1979); W. H. Traub, Chemotherapy 26, 103 (1980). Synergism with β-lactams: H. B. Maruyama et al., Antimicrob. Agents Chemother. 16, 444 (1979); F. R. Atherton et al., ibid. 20, 470 (1981); M. Arisawa et al., ibid. 21, 706 (1982). Pharmacokinetics: J. D. Allen, L. J. Lees, ibid. 17, 973 (1980). Comprehensive review: C. H. Hassall in Antibiotics VI, F. E. Hahn, Ed. (Springer-Verlag, New York, 1983) pp 1-11.

Chemical structure

Properties

Crystals from ethanol-water, mp 295-296° (dec). [α]D20 44.0° (c = 1 in H2O).