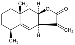
207. Alantolactone

Nomenclature

CAS number: 546-43-0
[3aR-(3aα,5β,8aβ,9aα)]-3a,5,6,7,8,8a,9,9a-Octahydro-5,8a-dimethyl-3-methylenenaphtho[2,3-b]furan-2(3H)-one; 8β-hydroxy-4αH-eudesm-5-en-12-oic acid γ-lactone; helenin; alant camphor; elecampane camphor; inula camphor.
C15H20O2; mol wt 232.32.
C 77.55%, H 8.68%, O 13.77%.

Description and references

A terpene from roots of Inula helenium L., Compositae: Kallen, Ber. 6, 1506 (1873); 9, 154 (1876); Ruzicka et al., Helv. Chim. Acta 14, 397, 1090 (1931); 16, 268 (1933). Structure: Marshall, Cohen, J. Org. Chem. 29, 3727 (1964). Stereoselective synthesis: Marshall et al., J. Am. Chem. Soc. 88, 3408 (1966).

Chemical structure

Properties

Crystals from alcohol, mp 78-79°. bp 275°. [α]D +175° (chloroform). uv max (ethanol): 212 nm (ε 9500). Volatile with steam. Freely sol in alcohol, chloroform, benzene, ether, oils. Practically insol in water.