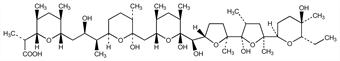
214. Alborixin

Nomenclature

CAS number: 57760-36-8
Antibiotic S 14750A.
C48H84O14; mol wt 885.17.
C 65.13%, H 9.57%, O 25.30%.

Description and references

Polycyclic polyether antibiotic ionophore, isolated from a strain of Streptomyces albus. Initial description and x-ray structure: M. Allèaume et al., Chem. Commun. 1975, 411. Production from Streptomyces hygroscopicus and use: M. Kuhn, H. D. King, DE 2608337 (1976 to Sandoz), C.A. 86, 28491k (1977). Isoln from S. albus, structure, properties: P. Gachon et al., J. Antibiot. 29, 603 (1976); C. Delhomme et al., ibid. 692. NMR spectrum and solution conformation: N. A. Rodios, M. J. O. Anteunis, Bull. Soc. Chim. Belg. 88, 279 (1979). Revised structure: H. Seto et al., J. Antibiot. 32, 970 (1979). In vitro study: M. Chapel et al., ibid. 740. Effects on cardiovascular function and plasma cation concentration in the dog: N. Moins et al., J. Cardiovasc. Pharmacol. 1, 659 (1979).

Chemical structure

Properties

White amorphous powder, mp 100-105°. [α]20 7° (c = 4 in acetone). pKa 10.02 (25° in methanol). LD50 in mice: 15 mg/kg s.c. (Delhomme). LD50 originally reported as 150 mg/kg, corrected in J. Antibiot. 30, Suppl. (1977), facing p 77-12.