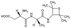
248. Alitame

Nomenclature

CAS number: 80863-62-3
l-α-Aspartyl-N-(2,2,4,4-tetramethyl-3-thietanyl)-d-alaninamide; l-aspartyl-d-alanine-N-(2,2,4,4-tetramethylthietan-3-yl)amide; 3-(l-aspartyl-d-alaninamido)-2,2,4,4-tetramethylthietane; CP-54802; Aclame (Danisco).
C14H25N3O4S; mol wt 331.43.
C 50.73%, H 7.60%, N 12.68%, O 19.31%, S 9.67%.

Description and references

Dipeptide amide reported to be approx 2000 times sweeter than sucrose. Prepn: T. M. Brennan, M. E. Hendrick, EP 34876; eidem, US 4411925 (1981, 1983 both to Pfizer). Conformational analysis: R. D. Feinstein et al., J. Am. Chem. Soc. 113, 3467 (1991). Review of development and uses: R. C. Glowaky et al., ACS Symp. Ser. 450, 57-67 (1991); of chemical and physical properties: M. E. Hendrick et al., in Advances in Sweeteners, T. H. Grenby, Ed. (Blackie, Glasgow, 1996) pp 226-239; M. H. Auerbach et al., in Alternative Sweeteners, L. O'Brien Nabors, Ed. (Marcel Dekker, Inc., New York, 2001) pp 31-40.

Chemical structure

Properties

White, crystalline, non-hygroscopic powder, mp 136-147°. Faint, characteristic odor; intensely sweet taste. [α]D25 +40 to +50° (c = 1 in water). pI 5.6. Soly at 25° (% w/v): water (pH 5.6) 13.1; methanol 41.9; ethanol 61.0; propylene glycol 53.7; chloroform 0.02; n-heptane 0.001.

Use

Non-nutritive sweetener.