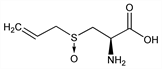
262. Alliin

Nomenclature

CAS number: 556-27-4
3-[(S)-2-Propenylsulfinyl]-l-alanine; 3-((S)-allylsulfinyl)-l-alanine; S-allyl-l-cysteine sulfoxide.
C6H11NO3S; mol wt 177.22.
C 40.66%, H 6.26%, N 7.90%, O 27.08%, S 18.09%.

Description and references

Constituent of garlic, Allium sativum L., Liliaceae; also found in other Allium spp. Degraded by alliinase to produce the garlic flavor component, allicin, q.v. Isoln: Stoll, Seebeck, Helv. Chim. Acta 31, 189 (1948). Synthesis: eidem, Experientia 6, 330 (1950); Helv. Chim. Acta 34, 481 (1951). Extraction from Allium plants and LC determn: E. Mochizuki et al., J. AOAC Int. 80, 1052 (1997). In vitro immunomodulatory effects on peripheral blood cells: H. Salman et al., Int. J. Immunopharmacol. 21, 589 (1999). Biosynthesis in garlic tissue cultures: J. Hughes et al., Phytochemistry 66, 187 (2005).

Chemical structure

Properties

Hemihydrate, odorless, bunched needles from dil acetone, mp 164-166° (effervescence). [α]D20 +63.5° (c = 2). Freely sol in water. Practically insol in abs ethanol, chloroform, acetone, ether, benzene.