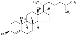
264. Allocholesterol

Nomenclature

CAS number: 517-10-2
(3β)-Cholest-4-en-3-ol; coprostenol; 4:5-coprosten-3-ol.
C27H46O; mol wt 386.65.
C 83.87%, H 11.99%, O 4.14%.

Description and references

Prepn: Windaus, Ann. 453, 101 (1927); Schoenheimer, Evans, J. Biol. Chem. 114, 567 (1936). Sepn from cholesterol: Stoll, Z. Physiol. Chem. 246, 10 (1937).

Chemical structure

Properties

Needles from ether-methanol, mp 132°. [α]D23 +43.7° (c = 1 in benzene). Freely sol in benzene, acetone, ether, chloroform, dioxane, pyridine; less sol in methanol, alcohol. Pptd by digitonin. Deep-red color with 90% trichloroacetic acid.

Derivative

Acetate.
C29H48O2; mol wt 428.69.
C 81.25%, H 11.29%, O 7.46%.

Properties

Long needles from dil methanol, mp 85°.