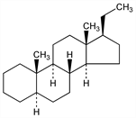
266. Allopregnane

Nomenclature

CAS number: 641-85-0
(5α)-Pregnane.
C21H36; mol wt 288.51.
C 87.42%, H 12.58%.

Description and references

Prepn from corticosterone: Steiger, Reichstein, Helv. Chim. Acta 21, 161 (1938); from allopregnan-3-one: Ruzicka et al., ibid. 22, 1294 (1939); from 21-hydroxyallopregnane: Plattner et al., ibid. 27, 1177 (1944); Casanova, Reichstein, ibid. 32, 647 (1949); by degradation of conessine: Haworth et al., J. Chem. Soc. 1949, 831; by Hofmann decomposition of 3β- and 3α-dimethylaminopregnanes: Haworth et al., ibid. 1953, 1110.

Chemical structure

Properties

Crystals from acetone + methanol, mp 84-85°. [α]D19 +18.4° (c = 1.69 in chloroform).