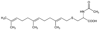
10364. N-Acetyl-l-farnesylcysteine

Nomenclature

CAS number: 135304-07-3
N-Acetyl-S-[(2E,6E)-3,7,11-trimethyl-2,6,10-dodecatrien-1-yl]-l-cysteine; N-acetyl-S-trans,trans-farnesyl-l-cysteine; AFC; Arazine (Signum).
C20H33NO3S; mol wt 367.55.
C 65.36%, H 9.05%, N 3.81%, O 13.06%, S 8.72%.

Description and references

Anti-inflammatory G-protein modulator (GPM). Inhibitor of isoprenylcysteine methyltransferase, an enzyme involved in G-protein signaling. Prepn: J. B. Stock, US 5043268 (1991 to Princeton Univ.). Enzyme inhibiting activity: C. Volker et al., J. Biol. Chem. 266, 21515 (1991) PubMed. Structure-activity study: B. A. Gilbert et al., J. Am. Chem. Soc. 114, 3966 (1992) DOI. Effect in mouse models of skin inflammation: J. S. Gordon et al., J. Invest. Dermatol. 128, 643 (2008) DOI PubMed.

Chemical structure

Properties

Colorless oil. [α]D 23.4° (c = 0.01 in methanol).

Use

In cosmetics as topical anti-inflammatory and antioxidant.