12-00110. Acid Violet 7B [Archived]

Nomenclature

CAS number: 5905-34-0
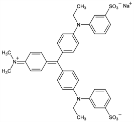
N-[4-[Bis[4-[ethyl(3-sulfophenyl)amino]phenyl]methylene]-2,5-cyclohexadien-1-ylidene]-N-methylmethanaminium inner salt, sodium salt; C.I. Acid Violet 25; C.I. 42745.
C37H36N3NaO6S2; mol wt 705.82.
C 62.96%, H 5.14%, N 5.95%, Na 3.26%, O 13.60%, S 9.09%.

Description and references

Prepd by sulfonation of the condensation product from p-dimethylaminobenzoyl chloride with N-ethyldiphenylamine: Müller, DE 34463; Frdl. 1, 88; US 353266; Turnbull, Evans, US 1402195. See also: Colour Index vol. 4 (3rd ed., 1971) p 4401.

Chemical structure

Properties

Violet powder. Sol in water, alcohol with deep blue color and violet tinge. Insol in ether. Absorption max (water): 607.5 nm.

Use

As dye; in inks and stains.

Status

This monograph has been retired and is no longer subject to revision or update.