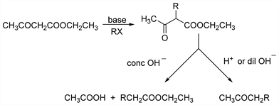
Base-catalyzed alkylation or arylation of β-ketoesters. Subsequent mild hydrolysis and decarboxylation yield substituted acetones. Alternately, treatment with concentrated base produces substituted esters:

Synthetic applications: R. Kluger, M. Brandl, J. Org. Chem. 51, 3964 (1986); T. Yamamitsu et al., J. Chem. Soc. Perkin Trans. 1 1989, 1811.