484. Amiprilose

Nomenclature

CAS number: 56824-20-5
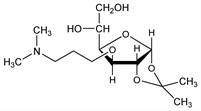
3-O-[3-(Dimethylamino)propyl]-1,2-O-(1-methylethylidene)-α-d-glucofuranose; 1,2-O-isopropylidene-3-O-[3′-(N,N-dimethylamino)propyl]-α-d-glucofuranose.
C14H27NO6; mol wt 305.37.
C 55.06%, H 8.91%, N 4.59%, O 31.44%.

Description and references

Synthetic, substituted monosaccharide with immunomodulatory activity. Prepn: BE 823313; P. Gordon, US 3939146 (1975, 1976 both to Strategic Med. Res.); E. R. Garrett et al., J. Pharm. Sci. 71, 387 (1982). Absolute configuration: R. J. Linhardt et al., ibid. 79, 158 (1990). HPLC determn in plasma: S. T. Wu et al., J. Chromatogr. B 692, 149 (1997). Clinical pharmacokinetics: E. R. Garrett et al., J. Pharmacokinet. Biopharm. 10, 247 (1982). Clinical trial in rheumatoid arthritis: W. G. Riskin et al., Ann. Intern. Med. 111, 455 (1989). Review of immunoregulatory effects: D. M. Chang, Immunopharmacol. Immunotoxicol. 17, 437-450 (1995).

Chemical structure

Properties

Colorless, viscous oil. n25 1.4687.

Derivative

Hydrochloride.

Nomenclature

CAS number: 60414-06-4
SM-1213; Therafectin (BLS).
C14H27NO6.HCl; mol wt 341.83.
C 49.19%, H 8.26%, N 4.10%, O 28.08%, Cl 10.37%.

Properties

Crystals from methanol, mp 181-183°. Sol in water, methanol, hot ethanol.

Therapeutic Category

Immunomodulator; anti-inflammatory.

Keywords

Immunomodulator