577. Amoxicillin

Nomenclature

CAS number: 26787-78-0
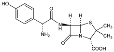
(2S,5R,6R)-6-[[(2R)-2-Amino-2-(4-hydroxyphenyl)acetyl]amino]-3,3-dimethyl-7-oxo-4-thia-1-azabicyclo[3.2.0]heptane-2-carboxylic acid; ()-6-[2-amino-2-(p-hydroxyphenyl)acetamido]-3,3-dimethyl-7-oxo-4-thia-1-azabicyclo[3.2.0]heptane-2-carboxylic acid; 6-[d()-α-amino-p-hydroxyphenylacetamido]penicillanic acid; α-amino-p-hydroxybenzylpenicillin; 6-(p-hydroxy-α-aminophenylacetamido)penicillanic acid; p-hydroxyampicillin; amoxycillin; AMPC; Helvamox (Helvepharm); Pasetocin (Kyowa); Penimox (IBSA); Supramox (Grünenthal); Zamocilline (Inpharzam).
C16H19N3O5S; mol wt 365.40.
C 52.59%, H 5.24%, N 11.50%, O 21.89%, S 8.78%.

Description and references

Semi-synthetic antibiotic related to penicillin. Prepn: Nayler, Smith, GB 978178 (1964 to Beecham); eidem, US 3192198 (1965); Long, Nayler, DE 1942693 and GB 1241844 (1970 and 1971 to Beecham), C.A. 72, 90447q (1970). Resolution of isomers: Long et al., J. Chem. Soc. C 1971, 1920. Series of articles on activity, pharmacology, absorption and excretion: Antimicrob. Agents Chemother. 1970, 407-430. Review of antibacterial activity, pharmacokinetics and therapeutic use: R. N. Brogden et al., Drugs 18, 169-184 (1979). Comprehensive description: A. E. Bird, Anal. Profiles Drug Subs. Excip. 23, 1-52 (1994).

Chemical structure

Properties

White crystalline powder. Slightly sol in water, methanol. Insol in benzene, carbon tetrachloride, chloroform.

Derivative

Trihydrate.

Nomenclature

CAS number: 61336-70-7
BRL-2333; Agram (Fabre); Alfamox (Teofarma); Amocilline (Inpharzam); Amodex (Bouchara); Amoram (Eastern); Amoxidin (Lagap); Amoxil (GSK); Amoxillat (Novartis); Amoxypen (Grünenthal); Ardine (Antibioticos); Bactox (Innotech); Betamox (Norbrook); Bristamox (BMS); Cuxacillin (TAD); Flemoxine (Yamanouchi); Gramidil (Dexo); Hiconcil (BMS); Larotid (Roche); Ospamox (Novartis); Polymox (BMS); Robamox (Wyeth); Sigamopen (Alpharma); Trimox (BMS); Velamox (GSK); Widecillin (Meiji); Wymox (Wyeth); Zimox (Pfizer).

Properties

Off-white crystalline powder. [α]D20 +246° (c = 0.1). uv max (ethanol): 230, 274 nm (ε 10850, 1400); (0.1N HCl): 229, 272 nm (ε 9500, 1080); (0.1N KOH): 248, 291 (ε 2200, 3000). Solubility (mg/ml): water 4.0; methanol 7.5; abs ethanol 3.4. Insol in hexane, benzene, ethyl acetate, acetonitrile.

Derivative

Sodium salt.

Nomenclature

CAS number: 34642-77-8
Clamoxyl (GSK); Ibiamox (IBI).
C16H18N3NaO5S; mol wt 387.39.
C 49.61%, H 4.68%, N 10.85%, Na 5.93%, O 20.65%, S 8.28%.

Therapeutic Category

Antibacterial.

Therapeutic Category (Veterinary)

Antibacterial.

Keywords

Antibacterial (Antibiotics); β-Lactams; Penicillins