681. Antheridiol

Nomenclature

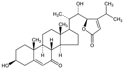
CAS number: 22263-79-2
(3β,22S,23R)-3,22,23-Trihydroxy-7-oxostigmasta-5,24(28)-dien-29-oic acid γ-lactone; 3β,22,23-trihydroxy-24-(carboxymethylene)cholest-5-en-7-one 23,24-lactone.
C29H42O5; mol wt 470.64.
C 74.01%, H 8.99%, O 17.00%.

Description and references

The first specific functioning sex hormone to be identified in the plant kingdom. A diffusible substance secreted by the female mycelium of the filamentous water molds Achlya bisexualis and A. ambisexualis, which induces the growth of antheridial hyphae in the male plant, thereby initiating sexual reproduction in the species. Isoln and preliminary chemical data: Raper, Haagen-Smit, J. Biol. Chem. 143, 311 (1942). Isoln of crystalline material: McMorris, Barksdale, Nature 215, 320 (1967). Structure: Arsenault et al., J. Am. Chem. Soc. 90, 5635 (1968). Synthesis: J. A. Edwards et al., ibid. 91, 1248 (1969); J. H. Fried, J. A. Edwards, US 3547911 (1970 to Syntex). Stereochemical proposal: Green et al., Tetrahedron 27, 1199 (1971). Absolute stereochemistry and alternate syntheses: Edwards et al., Tetrahedron Lett. 1972, 791; T. C. McMorris et al., ibid. 2673; eidem, J. Org. Chem. 39, 669 (1974). Reviews: Barksdale, Ann. N.Y. Acad. Sci. 144, 313-319 (1967); idem, Science 166, 831-837 (1969); T. C. McMorris, Lipids 13, 716-722 (1978).

Chemical structure

Properties

Colorless crystals from methanol, mp 250-255°. uv max (ethanol): 220 nm (ε 17,000). Sol in hot methanol. Slightly sol in chloroform; very slightly sol in water.

Use

Control and regulation of plant fertility.