781. Arginine Glutamate

Nomenclature

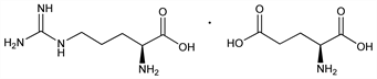
CAS number: 4320-30-3
l-Glutamic acid compd with l-arginine; Modumate (Abbott).
C11H23N5O6; mol wt 321.33.
C 41.12%, H 7.21%, N 21.79%, O 29.87%.

Description and references

Prepd from l-arginine and l-glutamic acid: Barker, Chang, US 2851482 (1958 to General Mills). Activity studies: Weisburger et al., Toxicol. Appl. Pharmacol. 14, 163 (1969); Yamamoto, Weisburger, Life Sci. 9(II), 285 (1970). Crystal and molecular structure: T. N. Bhat, M. Vijayan, Acta Crystallogr. B33, 1754 (1977). Reduction of blood ammonia: L. Zieve et al., Metab. Brain Dis. 4, 113 (1989).

Chemical structure

Properties

Crystals, dec 193-194.5°. Supplied as a 25% (w/v) soln in water for injection; each 100 ml represents 13.5 g of arginine and 11.5 g of glutamic acid.

Therapeutic Category

Ammonia detoxicant (hepatic failure).