824. Asarones

Nomenclature

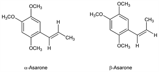
1,2,4-Trimethoxy-5-(1-propenyl)benzene; 2,4,5-trimethoxy-1-propenylbenzene; asarin; asarum camphor; asarabacca camphor.
C12H16O3; mol wt 208.25.
C 69.21%, H 7.74%, O 23.05%.

Description and references

From root of Asarum europaeum L., Aristolochiaceae by distillation with water. Also found in the ethereal oils of A. europaeum and A. arifolium L., Aristolochiaceae and in Acorus calamus L., Araceae. Occurs in nature as a mixture of two isomeric forms, α-asarone being the (E)- or trans-isomer, β-asarone, the (Z)- or cis-isomer. The unqualified term asarone is often used synonymously with α-asarone. Isoln: Gattermann, Eggers, Ber. 32, 289 (1899). Early syntheses: Seshadri, Thiruvengadam, Proc. Indian Acad. Sci. 32A, 110 (1950); Sharma, Dandiya, Indian J. Appl. Chem. 32, 236 (1969). Stereochemistry of isomers: Baxter et al., Can. J. Chem. 40, 154 (1962). Insect chemosterilant activity of β-asarone: B. P. Saxena et al., Nature 270, 512 (1977); see also G. Motolesy et al., Z. Naturforsch. 35B, 1449 (1980). Stereospecific synthesis of β-asarone: M. T. S. Hsia et al., 177th Am. Chem. Soc. Meet. (Honolulu, April 1979), Abstracts of Papers, PEST 98. Synthetic and HPLC study of α- and β-asarone: L. Gracza, Arch. Pharm. 314, 972 (1981).

Chemical structure

Derivative

α-Asarone.

Properties

Needles from light petroleum, mp 62-63°. bp 296°. nD11 1.5719. Practically insol in water; sol in alcohol, ether, glacial acetic acid, carbon tetrachloride, chloroform, petr ether.