853. Astacin

Nomenclature

CAS number: 514-76-1
β,β-Carotene-3,3′,4,4′-tetrone; 3,4,3′,4′-tetraketo-β-carotene; 3,3′-dihydroxy-2,3,2′,3′-tetradehydro-β,β-carotene-4,4′-dione; astacene.
C40H48O4; mol wt 592.81.
C 81.04%, H 8.16%, O 10.80%.

Description and references

Red carotenoid pigment isolated from biological material originating from crustacea, algae, sponges, protozoa, fish and reptiles. Small amounts were isolated from the fat of mammals (whales, Balaenoptera musculus). Occurs together with astaxanthin from which it is formed by autoxidation. Appears to be an artifact rather than a natural product. Isoln from lobster shells: Kuhn, Lederer, Ber. 66, 488 (1933). Structure: Karrer et al., Helv. Chim. Acta 17, 412, 745 (1934); 18, 96 (1935); 19, 479 (1936). Total synthesis: J. B. Davis, B. C. L. Weedon, Proc. Chem. Soc. London 1960, 182; E. Widmer et al., Helv. Chim. Acta 65, 671 (1982). Prepn by autoxidation of canthaxanthin: R. D. G. Cooper et al., J. Chem. Soc. Perkin Trans. 1 1975, 2195.

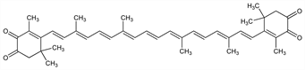
Chemical structure

Properties

Purple needles or leaflets with metallic luster, sometimes bent into sickle shape, esp when crystallized from pyridine + water, mp 240-243° (slow heating in evac tube, Karrer), mp 228° (Kuhn). Absorption max (pyridine): 500 nm. Practically insol in water; freely sol in chloroform, pyridine, dioxane, carbon disulfide and dil aq alkali; slightly sol in benzene, ethyl acetate, glacial acetic acid; nearly insol in ether, petr ether, methanol.

Derivative

Diacetate.
C44H52O6; mol wt 676.88.
C 78.07%, H 7.74%, O 14.18%.

Properties

Black to violet needles from pyridine + water, dec 235°.

Derivative

Dipalmitate (astacein).
C72H108O6; mol wt 1069.62.
C 80.85%, H 10.18%, O 8.97%.

Properties

Almost square red leaflets from petr ether, mp 121°.