878. Auranofin

Nomenclature

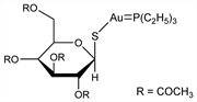
CAS number: 34031-32-8
(1-Thio-β-d-glucopyranose-2,3,4,6-tetraacetato-S)(triethylphosphine)gold; (2,3,4,6-tetra-O-acetyl-1-thio-β-d-glucopyranosato-S)(triethylphosphine)gold; (1-thio-β-d-glucopyranosato)(triethylphosphine)gold 2,3,4,6-tetraacetate; SKF-39162; Ridaura (Astellas); Ridauran (Fabre).
C20H34AuO9PS; mol wt 678.48.
C 35.40%, H 5.05%, Au 29.03%, O 21.22%, P 4.57%, S 4.73%.

Description and references

Disease modifying antirheumatic drug (DMARD); orally active gold coordination complex. Prepn: E. R. McGusty, B. M. Sutton, DE 2051495; eidem, US 3635945 (1971, 1972 both to SKF). Toxicity study: B. H. Payne, D. T. Walz, Vet. Pathol. 15, Suppl. 5, 1 (1978). HPLC determn in urine: R. Kizu et al., Chem. Pharm. Bull. 41, 1261 (1993). Symposium on pharmacology and clinical experience: J. Rheumatol. 9, Suppl. 8, 1-209 (1982). Clinical trial in rheumatoid arthritis: M. Itokazu et al., Clin. Ther. 17, 60 (1995); in steroid-dependent asthma: I. L. Bernstein et al., J. Allergy Clin. Immunol. 98, 317 (1996). Review: W. F. Kean et al., Br. J. Rheumatol. 36, 560-572 (1997).

Chemical structure

Properties

White, odorless, crystalline powder, mp 112-115°. Very slightly sol in water; sol in alcohol. Unstable to light and heat. LD50 in rats, mice (mg/kg): 265, 310 orally (Payne, Walz).

Therapeutic Category

Antirheumatic.

Therapeutic Category (Veterinary)

Antirheumatic.

Keywords

Antiarthritic/Antirheumatic