899. Azaserine

Nomenclature

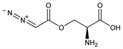
CAS number: 115-02-6
l-Serine diazoacetate (ester); O-diazoacetyl-l-serine; CL-337; CN-15757; P-165.
C5H7N3O4; mol wt 173.13.
C 34.69%, H 4.08%, N 24.27%, O 36.97%.

Description and references

Antitumor antibiotic produced by Streptomyces sp. Isoln, characterization, and antitumor activity: C. C. Stock et al., Nature 173, 71 (1954); J. Ehrlich et al., ibid. 72; Q. R. Bartz et al., ibid. 72; S. A. Fusari et al., J. Am. Chem. Soc. 76, 2878 (1954). Structural studies: idem et al., ibid. 2881. Synthetic studies: J. A. Moore et al., ibid. 2884; E. D. Nicolaides et al., ibid. 2887; T. J. Curphey, D. S. Daniel, J. Org. Chem. 43, 4666 (1978). Pathology and pharmacology studies: S. S. Sternberg, F. S. Philips, Cancer 10, 889 (1957). Crystal and molecular structure: A. Fitzgerald, L. H. Jensen, Acta Crystallogr. B34, 828 (1978). Review of carcinogenicity studies: IARC Monographs 10, 73-77 (1976). Review: Pettillo, Hunt, Antibiotics vol. 1, D. Gottlieb, P. Shaw, Eds. (Springer-Verlag, New York, 1967) pp 481-493. Use in study of the progression of pancreatic adenocarcinoma in rat models: K. Nagy et al., Histochem. Cell Biol. 119, 405 (2003).

Chemical structure

Properties

Light yellow-green needles from aq ethanol, mp 146-162° (dec). [α]D27.5 0.5° (c = 8.46% in H2O at pH 5.18). uv max (pH 7): 250.5 nm (E1%1cm 1140); in 0.1N NaOH: 252 nm (E1%1cm 1230). Very sol in water; slightly sol in abs methanol, abs ethanol, acetone, but sol in warm aq solns of these solvents. pKa 8.55. LD50 in mice, rats (mg/kg/day): 150, 170 orally (Sternberg, Philips).

Use

Reagent used to induce pancreatic cancer in experimental animal models.