925. Aztreonam

Nomenclature

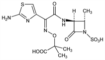
CAS number: 78110-38-0
[2S-[2α,3β(Z)]]-2-[[[1-(2-Amino-4-thiazolyl)-2-[(2-methyl-4-oxo-1-sulfo-3-azetidinyl)amino]-2-oxoethylidene]amino]oxy]-2-methylpropanoic acid; azthreonam; SQ-26776; Azactam (BMS); Primbactam (Menarini).
C13H17N5O8S2; mol wt 435.43.
C 35.86%, H 3.94%, N 16.08%, O 29.40%, S 14.73%.

Description and references

The first totally synthetic monocyclic β-lactam (monobactam) antibiotic. It has a high degree of resistance to β-lactamases and shows specific activity vs aerobic gram-negative rods. Prepn: R. B. Sykes et al., NL 8100571 (1981 to Squibb), C.A. 96, 181062x (1982). Fast-atom-bombardment mass spectra: A. I. Cohen et al., J. Pharm. Sci. 71, 1065 (1982). Activity vs gram-negative bacteria: R. B. Sykes et al., Antimicrob. Agents Chemother. 21, 85 (1982). Series of articles on structure-activity, in vitro and in vivo properties, pharmacokinetics: J. Antimicrob. Chemother. 8, Suppl. E, 1-148 (1981). Toxicology: G. R. Keim et al., ibid. 141. Mechanism of action study: A. D. Russell, J. R. Furr, ibid. 9, 329 (1982). Comparative stability to renal dipeptidase: H. Mikami et al., Antimicrob. Agents Chemother. 22, 693 (1982). Human pharmacokinetics: E. A. Swabb et al., ibid. 21, 944 (1982). Clinical evaluation in urinary tract infection: C. Donadio et al., Drugs Exp. Clin. Res. 13, 167 (1987). Clinical efficacy in neonatal sepsis: S. Sklavunu-Tsurutsoglu et al., Rev. Infect. Dis. 13, Suppl. 7, S591 (1991). Comprehensive description: K. Florey, Anal. Profiles Drug Subs. 17, 1-39 (1988).

Chemical structure

Properties

White crystalline, odorless powder, dec 227°. Very slightly sol in ethanol, slightly sol in methanol, sol in DMF, DMSO. Practically insol in toluene, chloroform, ethyl acetate.

Derivative

Disodium salt.
C13H15N5Na2O8S2; mol wt 479.40.
C 32.57%, H 3.15%, N 14.61%, Na 9.59%, O 26.70%, S 13.38%.

Properties

LD50 (mg/kg): 3300 i.v. in mice; 6600 i.p. in rats (Keim).

Therapeutic Category

Antibacterial.

Keywords

Antibacterial (Antibiotics); β-Lactams; Monobactams