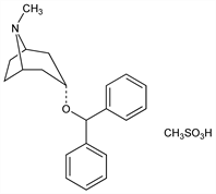
1121. Benztropine Mesylate

Nomenclature

CAS number: 132-17-2
3-(Diphenylmethoxy)-8-methyl-8-azabicyclo[3.2.1]octane methanesulfonate; 3α-(diphenylmethoxy)-1αH,H-tropane methanesulfonate; benztropine methanesulfonate; tropine benzohydryl ether methanesulfonate; Cogentin (Merck & Co.); Cogentinol (Astra).
C22H29NO4S; mol wt 403.53.
C 65.48%, H 7.24%, N 3.47%, O 15.86%, S 7.95%.

Description and references

Anticholinergic. Prepd by the action of diphenyldiazomethane on tropine: Phillips, US 2595405 (1952 to Merck & Co.). Crystal structure: P. G. Jones et al., Acta Crystallogr. B34, 3125 (1978).

Chemical structure

Properties

Crystals from acetone + ether, mp 143°. uv max: 259 nm (EM = 437). Soluble in water. pH about 6.

Therapeutic Category

Antiparkinsonian.

Keywords

Antiparkinsonian; Antimuscarinic