1252. Bismark Brown R

Nomenclature

CAS number: 8005-78-5
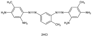
4,4′-[(4-Methyl-1,3-phenylene)bis(azo)]bis[6-methyl-1,3-benzenediamine] dihydrochloride; C.I. Basic Brown 4; 5,5′-[(4-methyl-m-phenylene)bis(azo)]bis[toluene-2,4-diamine] dihydrochloride; C.I. 21010; Bismark Brown 53; Vesuvine.
C21H26Cl2N8; mol wt 461.39.
C 54.67%, H 5.68%, Cl 15.37%, N 24.29%.

Description and references

Prepd by reaction of toluene-2,4-diamine HCl with nitrous acid: Colour Index vol. 4 (3rd ed., 1971) p 4154.

Chemical structure

Properties

Dark brown solid. Very sol in water (yellowish-brown soln); sol in ethanol, Cellosolve; slightly sol in acetone; practically insol in benzene. In concd H2SO4 gives brown soln which on dilution turns reddish-brown; in concd HNO3 gives violet soln which turns brown.

Derivative

Free base.

Nomenclature

C.I. Solvent Brown 12; C.I. 21010:1.
C21H24N8; mol wt 388.47.
C 64.93%, H 6.23%, N 28.84%.

Properties

mp 130-135°. Very slightly sol in water; sol in ethanol, acetone.

Use

As textile dye, leather dye, biological stain.