1264. Bismuth Ethyl Camphorate

Nomenclature

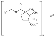
CAS number: 52951-37-8
d-Camphoric acid ethyl ester bismuth salt; bismuth(III) salt of d-camphoric acid monoethyl ester.
C36H57BiO12; mol wt 890.81.
C 48.54%, H 6.45%, Bi 23.46%, O 21.55%.

Description and references

Prepd from sodium ethyl camphorate and bismuth nitrate: W. M. Lauter, H. A. Braun, J. Am. Pharm. Assoc. 25, 394 (1936).

Chemical structure

Properties

Amorphous solid, faint aromatic odor. Softens at 55°. mp 61-67° (clear melt). Practically insol in water. Sol in chloroform, ether, ethylene dichloride, oils. The soly in vegetable oils is increased by the addition of camphor. MLD i.m. in rats: 250 mg Bi/kg (Lauter, Braun).

Therapeutic Category

Formerly as antisyphilitic.