A. Baeyer, V. Villiger, Ber. 32, 3625 (1899); 33, 858 (1900).
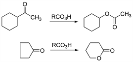
The oxidation of ketones to esters or lactones by peracids:

Reviews: P. A. S. Smith in Molecular Rearrangements Part 1, P. de Mayo, Ed. (Wiley-Interscience, New York, 1963) pp 577-591; J. B. Lee, B. C. Uff, Q. Rev. Chem. Soc. 21, 429-457 (1967); C. H. Hassall, Org. React. 9, 73 (1957); G. R. Krow, ibid. 43, 251-798 (1993); idem, Comp. Org. Syn. 7, 671-688 (1991); G.-J. ten Brink et al., Chem. Rev. 104, 4105-4123 (2004).