1318. Bleomycins

Nomenclature

NSC-125066.

Description and references

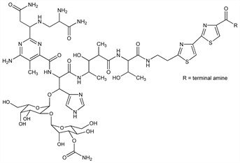
A group of related glycopeptide antibiotics. Variations in the terminal amine account for differing activities. Isolated from Streptomyces verticillus: Umezawa, Antimicrob. Agents Chemother. 1965, 1079. Purification and separation into bleomycins A and B and their components: Umezawa et al., J. Antibiot. 19, 200, 210 (1966); T. Takita et al., ibid. 21, 79 (1968); 22, 237 (1969). Bleomycin A2 is the main component of the bleomycin employed clinically. Total structure elucidation: T. Takita et al., ibid. 25, 755 (1972). Revised structure: eidem, ibid. 31, 801 (1978). Terminal amines: Fujii et al., ibid. 26, 398 (1973). Synthesis of new bleomycins: T. Takita et al., ibid. 254. Total synthesis of bleomycin A2: eidem, Tetrahedron Lett. 23, 521 (1982). Improved total synthesis: S. Saito et al., J. Antibiot. 36, 92 (1983). Biosynthesis: Fujii et al., ibid. 27, 73 (1974). Bleomycins are believed to react with DNA and cause strand scission; they have also been shown to have a type of oxygen transferase activity. Mechanism of action studies: R. M. Burger et al., Life Sci. 28, 715 (1981); N. Marugesan et al., J. Biol. Chem. 257, 8600 (1982). Coordination chemistry: J. C. Dabrowiak, J. Inorg. Biochem. 13, 317 (1980). Clinical pharmacology: S. T. Crooke, Cancer Chemother. 3, 343 (1981). Characterization of analogs: N. J. Oppenheimer et al., J. Biol. Chem. 257, 1606 (1982). Reviews: H. Umezawa, Pure Appl. Chem. 28, 665-680 (1971); C. W. Haidle, R. S. Lloyd, Antibiotics vol. 5(pt. 2), F. E. Hahn, Ed. (Springer-Verlag, New York, 1979) pp 124-154; H. Umezawa, Anticancer Agents Based on Natural Product Models, J. M. Cassady, J. D. Douros, Eds. (Academic Press, New York, 1980) pp 147-166.

Chemical structure

Properties

Colorless or yellowish powder which becomes bluish depending on Cu content. Very sol in water, methanol; slightly sol in ethanol. Practically insol in acetone, ethyl acetate, butyl acetate, ether. uv max: 244-248, 289-294 nm (E1%1cm 121-148, 102-121.5).

Derivative

Sulfate.

Nomenclature

CAS number: 9041-93-4
Blenoxane (BMS); Bleo (Nippon Kayaku).

Derivative

Bleomycin A2.

Nomenclature

CAS number: 11116-31-7
N1-[3-(Dimethylsulfonio)propyl]bleomycinamide.
C55H84N17O21S3; mol wt 1415.55.
C 46.67%, H 5.98%, N 16.82%, O 23.74%, S 6.80%.

Therapeutic Category

Antineoplastic.

Keywords

Antineoplastic; Antibiotics and Analogs