1358. Bradycor

Nomenclature

CAS number: 140661-97-8
CP-0127.
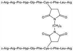
C128H194N40O28S2; mol wt 2805.29.
C 54.80%, H 6.97%, N 19.97%, O 15.97%, S 2.29%.

Description and references

Bradykinin antagonist. Dimer of d-Arg0-[Hyp3, Cys6, d-Phe7, Leu8]-bradykinin joined by a bissuccinimidohexane linker via the sulfhydryl moieties of the cysteine residues. Prepn: J. C. Cheronis et al., WO 9217201 (1992 to Cortech); eidem, J. Med. Chem. 35, 1563 (1992). Effect on survival in endotoxin shock in animals: E. T. Whalley et al., Agents Actions Suppl. 38 (3), 413 (1992).

Chemical structure

Therapeutic Category

In treatment of systemic inflammatory response syndrome.

Keywords

Bradykinin Antagonist