1704. Calcium Stearyl-2 Lactylate

Nomenclature

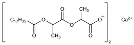
CAS number: 5793-94-2
Octadecanoic acid 2-(1-carboxyethoxy)-1-methyl-2-oxoethyl ester, calcium salt; stearic acid ester with lactate of lactic acid calcium salt; calcium stelate; Verv-Ca.
C48H86CaO12; mol wt 895.27.
C 64.40%, H 9.68%, Ca 4.48%, O 21.45%.

Description and references

Use in improving the mixing characteristics of flour: Thompson, Buddemeyer, Cereal Chem. 31, 296 (1954); in improving whipping and baking properties of dried egg whites: Gorman, Keith, US 2919992 (1960 to Seymour Foods). Metabolism: J. C. Phillips et al., Food Cosmet. Toxicol. 19, 7 (1981).

Chemical structure

Properties

Free flowing, nonhygroscopic powder. Sparingly sol in water. pH of a 2% aq suspension 4.7.

Use

Dough conditioner in yeast-leavened bakery products; emulsifier in cosmetic and pharmaceutical industry.