1718. Calmagite

Nomenclature

CAS number: 3147-14-6
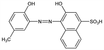
3-Hydroxy-4-[2-(2-hydroxy-5-methylphenyl)diazenyl]-1-naphthalenesulfonic acid; 3-hydroxy-4-[(2-hydroxy-5-methylphenyl)azo]-1-naphthalenesulfonic acid; 1-(1-hydroxy-4-methyl-2-phenylazo)-2-naphthol-4-sulfonic acid.
C17H14N2O5S; mol wt 358.37.
C 56.98%, H 3.94%, N 7.82%, O 22.32%, S 8.95%.

Description and references

Prepn from 1-amino-2-naphthol-4-sulfonic acid and p-cresol: Lindstrom, Diehl, Anal. Chem. 32, 1123 (1960).

Chemical structure

Properties

Red crystals from acetone. Sol in water. Absorption max (pH 10.10): 610 nm (ε 20300). Functions as acid-base indicator: Aq solns are bright red at low pH, red at pH 7.1 to 9.1, blue at pH 9.1 to 11.4. The blue color at pH 10 is changed to red by the addition of calcium or magnesium.

Use

As indicator in titration of Ca or Mg with EDTA.