1720. Calotropin

Nomenclature

CAS number: 1986-70-5
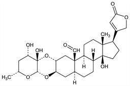
[2α(2S,3S,4S,6R),3β,5α]-14-Hydroxy-19-oxo-3,2-[(tetrahydro-3,4-dihydroxy-6-methyl-2H-pyran-2,3-diyl)bis(oxy)]card-20(22)-enolide.
C29H40O9; mol wt 532.62.
C 65.40%, H 7.57%, O 27.04%.

Description and references

African arrow poison isolated from milk sap of Calotropis procera Dryand., Asclepiadaceae. Isolation: Lewin, Arch. Exp. Pathol. Pharmakol. 71, 142 (1913); Hesse et al., Ann. 526, 252 (1936); 566, 130 (1950); Rajagopalan et al., Helv. Chim. Acta 38, 1809 (1955). Isoln from Asclepias curassavica L., Asclepiadaceae: S. M. Kupchan et al., Science 146, 1685 (1964). Structure: G. Hesse, G. Lettenbauer, Ann. 623, 142 (1959); Hesse et al., ibid. 625, 157, 161 (1959); D. G. H. Crout et al., Tetrahedron Lett. 1963, 63; J. Chem. Soc. 1964, 2187. Extraction from C. procera R.Br. and toxicity: F. Brüschweiler et al., Helv. Chim. Acta 52, 2086 (1969). Revised structure: eidem, ibid. 2276. Sequestration by larvae of Monarch butterfly Danaus plexippus L.: J. N. Sieber et al., J. Chem. Ecol. 6, 321 (1980). Quantitative analysis of cardenolides in latex and leaves of C. procera: eidem, Phytochemistry 21, 2343 (1982). Biosynthesis of labelled compd: M. S. Lee, J. N. Sieber, ibid. 22, 923 (1983).

Chemical structure

Properties

Rectangular platelets from alcohol or ethyl acetate, mp 223° (dec). [α]D18 +66.8° (in methanol). Sol in water, alc. Practically insol in ether. uv max: 217, 310 nm (log ε 4.21, 1.49). MLD i.v. in cats: 0.12 mg/kg (Brüschweiler).