1769. Capsanthin

Nomenclature

CAS number: 465-42-9
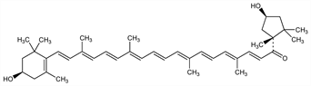
(3R,3′S,5′R)-3,3′-Dihydroxy-β,κ-caroten-6′-one.
C40H56O3; mol wt 584.87.
C 82.14%, H 9.65%, O 8.21%.

Description and references

Carotenoid pigment isolated from paprika (Capsicum annuum L., Solanaceae): L. Zechmeister, L. Cholnoky, Ann. 454, 54 (1927); L. Cholnoky et al., Ann. 606, 194 (1957); Warren, Weedon, J. Chem. Soc. 1958, 3972. Structure: Entschel, Karrer, Helv. Chim. Acta 43, 89 (1960); Faigle, Karrer, ibid. 44, 1257, 1904 (1961). Absolute configuration: Bartlett et al., J. Chem. Soc. C 1969, 2527. Crystal structure: I. Ueda, W. Nowacki, Verh. Schweiz. Naturforsch. Ges. 1971, 152, C.A. 77, 106449h (1972).

Chemical structure

Properties

Deep carmine-red needles from petr ether, mp 181-182°. Absorption max 483 nm (ε × 10-3 121). [α]Cd +36° (chloroform). Freely sol in acetone, chloroform. Sol in methanol, ethanol, ether, benzene. Slightly sol in petr ether, CS2.

Derivative

Diacetate.
C44H60O5; mol wt 668.94.
C 79.00%, H 9.04%, O 11.96%.

Properties

Red plates from methanol, mp 150°.

Derivative

Dipalmitate.
C72H116O5; mol wt 1061.69.
C 81.45%, H 11.01%, O 7.53%.

Properties

Bordeaux-red plates from benzene + methanol, mp 95°.