1792. Carbenicillin

Nomenclature

CAS number: 4697-36-3
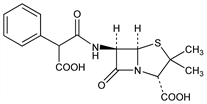
(2S,5R,6R)-6-[(2-Carboxy-2-phenylacetyl)amino]-3,3-dimethyl-7-oxo-4-thia-1-azabicyclo[3.2.0]heptane-2-carboxylic acid; N-(2-carboxy-3,3-dimethyl-7-oxo-4-thia-1-azabicyclo[3.2.0]hept-6-yl)-2-phenylmalonamic acid; α-carboxybenzylpenicillin; 6-(α-carboxyphenylacetamido)penicillanic acid; α-phenyl(carboxymethylpenicillin).
C17H18N2O6S; mol wt 378.40.
C 53.96%, H 4.79%, N 7.40%, O 25.37%, S 8.47%.

Description and references

Semi-synthetic antibiotic related to penicillin. Prepn of monopotassium salt: Hobbs, US 3142673 (1964 to Pfizer); of disodium salt: BE 646991; Brain, Nayler, US 3282926 (1964, 1966 both to Beecham). Activity studies and pharmacology: Naumann, Kempf, Arzneim.-Forsch. 19, 1222 (1969). Chemistry and mode of action: Butler et al., J. Infect. Dis. 122, Suppl., 81 (1970). Clinical data: Hoffler et al., ibid. 1233; Gritz, Naumann, ibid. 1237. HPLC determn of epimers in plasma and urine: M. Ishida et al., J. Chromatogr. B 652, 43 (1994). Review of antibacterial activity, pharmacology, and clinical use: H. C. Neu, Med. Clin. North Am. 66, 61-76 (1982).

Chemical structure

Derivative

Disodium salt.

Nomenclature

CAS number: 4800-94-6
Carbenicillin disodium; BRL-2064; CP-15639-2; Geopen (Pfizer); Pyopen (GSK).
C17H16N2Na2O6S; mol wt 422.36.
C 48.34%, H 3.82%, N 6.63%, Na 10.89%, O 22.73%, S 7.59%.

Properties

White powder. LD50 i.p. in rats: >2000 mg/kg See: E. I. Goldenthal, Toxicol. Appl. Pharmacol. 18, 185 (1971).

Derivative

Phenyl sodium.

Nomenclature

CAS number: 21649-57-0
Carfecillin sodium; BRL-3475.
C23H21N2NaO6S; mol wt 476.48.
C 57.98%, H 4.44%, N 5.88%, Na 4.82%, O 20.15%, S 6.73%.

Description and references

Prepn and activity studies: Clayton et al., J. Med. Chem. 18, 172 (1975).

Properties

Crystals from ethanol, [α]D20 +216.2° (H2O).

Therapeutic Category

Antibacterial.

Therapeutic Category (Veterinary)

Antimicrobial in reptiles.

Keywords

Antibacterial (Antibiotics); β-Lactams; Penicillins