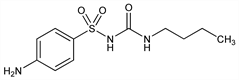
1832. Carbutamide

Nomenclature

CAS number: 339-43-5
4-Amino-N-[(butylamino)carbonyl]benzenesulfonamide; 1-butyl-3-sulfanilylurea; N1-(butylcarbamoyl)sulfanilamide; N1-sulfanilyl-N2-butylurea; N1-sulfanilyl-N2-butylcarbamide; N-(4-aminobenzenesulfonyl)-N′-butylurea; aminophenurobutane; BZ-55; U-6987; Bucarban (Chinoin); Glucidoral (Servier); Glucofren (Cophar); Invenol (Hoechst); Nadisan (Boehringer, Mann.).
C11H17N3O3S; mol wt 271.34.
C 48.69%, H 6.31%, N 15.49%, O 17.69%, S 11.82%.

Description and references

Ref: Achelis, Hardebeck, Dtsch. Med. Wochenschr. 80, 1452 (1955); Achelis et al., Arch. Exp. Pathol. Pharmakol. 228, 163 (1956). Prepn from butylurea and sulfanilamide: Samaniego, ES 229696 (1956), C.A. 51, 7413 (1957); E. Haack, A. Hagedorn, US 2907692 (1959 to Boehringer, Mann.).

Chemical structure

Properties

Crystals, mp 144-145°. Sol in water at pH 5 to 8. LD50 s.c. in mice: 3 g/kg (Haack, Hagedorn).

Therapeutic Category

Antidiabetic.

Keywords

Antidiabetic; Sulfonylurea Derivatives