1911. Cedrol

Nomenclature

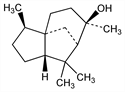
CAS number: 77-53-2
[3R-(3α,3aβ,6α,7β,8aα)]-Octahydro-3,6,8,8-tetramethyl-1H-3a,7-methanoazulen-6-ol; 8βH-cedran-8-ol; cedar camphor; cypress camphor.
C15H26O; mol wt 222.37.
C 81.02%, H 11.79%, O 7.19%.

Description and references

Occurs in cedar wood oil from Juniperus virginiana L. (J. sabina Kook), Cupressaceae, in cypress oil from Cupressus sempervirens: Schimmel's Report 1904, II, 20; in the oil from Juniperus chinensis: Kondo, J. Pharm. Soc. Jpn. 1907, 236; and from Origanum smyrnaeum L., Labiatae: Schimmel's Report 1906, Oct., 72. Structure: Stork, Breslow, J. Am. Chem. Soc. 75, 3291, 3292 (1953). Stereochemistry and total synthesis: Stork, Clarke, ibid. 83, 3114 (1961). Synthesis of dl-form: Corey et al., ibid. 91, 1557 (1969); eidem, Tetrahedron Lett. 1973, 3153; E. G. Breitholle, A. G. Fallis, J. Org. Chem. 43, 1964 (1978).

Chemical structure

Properties

Needles from dil methanol, mp 86-87°. [α]D28 +9.9° (c = 5 in chloroform).

Use

In fragrances.