1934. Cefotetan

Nomenclature

CAS number: 69712-56-7
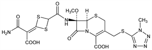
(6R,7S)-7-[[[4-(2-Amino-1-carboxy-2-oxoethylidene)-1,3-dithietan-2-yl]carbonyl]amino]-7-methoxy-3-[[(1-methyl-1H-tetrazol-5-yl)thio]methyl]-8-oxo-5-thia-1-azabicyclo[4.2.0]oct-2-ene-2-carboxylic acid; (6R,7S)-7-[4-(carbamoylcarboxymethylene)-1,3-dithietane-2-carboxamido]-7-methoxy-3-[[(1-methyl-1H-tetrazol-5-yl)thio]methyl]-8-oxo-5-thia-1-azabicyclo[4.2.0]oct-2-ene-2-carboxylic acid.
C17H17N7O8S4; mol wt 575.62.
C 35.47%, H 2.98%, N 17.03%, O 22.24%, S 22.28%.

Description and references

Broad-spectrum injectable semi-synthetic antibiotic derived from cephamycin C, q.v. Prepn: M. Iwanami et al., DE 2824559; eidem, US 4263432 (1979, 1981 both to Yamanouchi); eidem, Chem. Pharm. Bull. 28, 2629 (1980). Commercial-scale synthesis: M. Fujimoto et al., Org. Process Res. Dev. 8, 915 (2004). In vitro comparison of antibacterial activity: B. Chattopadhyay, J. C. Teli, J. Antimicrob. Chemother. 10, 151 (1982). Toxicity study: K. Imamura et al., Chemotherapy (Tokyo) 30, Suppl. 1, 212 (1982). Series of articles on pharmacology, clinical studies, toxicology: ibid. 1-947; J. Antimicrob. Chemother. 11, Suppl. A, 1-236 (1983). Review of antibacterial activity, pharmacokinetics, therapeutic use: A. Ward, D. M. Richards, Drugs 30, 382-426 (1985).

Chemical structure

Derivative

Disodium salt.

Nomenclature

CAS number: 74356-00-6
ICI-156834; YM-09330; Apatef (AstraZeneca); Cefotan (AstraZeneca); Ceftenon (Biochemie); Cepan (IBI); Darvilen (Schering AG).
C17H15N7Na2O8S4; mol wt 619.58.
C 32.95%, H 2.44%, N 15.82%, Na 7.42%, O 20.66%, S 20.70%.

Properties

LD50 in male mice, rats (g/kg): 6.35, 8.48 i.v.; 8.12, 8.37 i.p.; >10 orally and s.c. both species (Imamura).

Therapeutic Category

Antibacterial.

Keywords

Antibacterial (Antibiotics); β-Lactams; Cephamycins