2087. Chlorethoxyfos

Nomenclature

CAS number: 54593-83-8
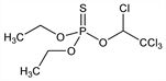
Phosphorothioic acid O,O-diethyl O-(1,2,2,2-tetrachloroethyl) ester; O,O-diethyl O-(1,2,2,2-tetrachloroethyl)phosphorothioate; DPX-43898; SD-208304; Fortress (Amvac).
C6H11Cl4O3PS; mol wt 336.00.
C 21.45%, H 3.30%, Cl 42.21%, O 14.29%, P 9.22%, S 9.54%.

Description and references

Organophosphate insecticide; cholinesterase inhibitor. Prepn: M. Schnell et al., DD 107581 (1974); eidem, J. Prakt. Chem. 319, 723 (1977) DOI. Physical properties and field trials: I. A. Watkinson, D. W. Sherrod, Brit. Crop Prot. Conf. - Pests Dis. 1986, 107. Persistence in soil: R. A. Chapman et al., J. Environ Sci. Health B28, 151 (1993). Assessment of volatility losses from soil: B. W. Fuller et al., J. Agric. Entomol. 14, 399 (1997). Field trials for control of corn rootworm: eidem, J. Econ. Entomol. 90, 1332 (1997).

Chemical structure

Properties

Colorless liquid, bp0.05 torr 80°. nD25 1.4980. d420 1.464. Poisonous. Also reported as white, crystalline, powder (Watkinson). Soly in water < 1 mg/l. Sol in hexane, ethanol, xylene, acetonitrile, chloroform. Vapor pressure at 20°: 8 × 10-4 mm Hg. LD50 in rats, mice (mg/kg): 1-10, 20-50 orally; in rabbits (mg/kg): 20-200 dermally (Watkinson).

Caution

Potential symptoms of overexposure by ingestion, inhalation or absorption through eye or skin are headache, nausea, vomiting, diarrhea, abdominal cramps; excessive sweating, salivation, tearing; constricted pupils, blurred vision; chest tightening, weakness, muscle twitching, confusion; unconsciousness; convulsions; severe respiratory depression.

Use

Insecticide.