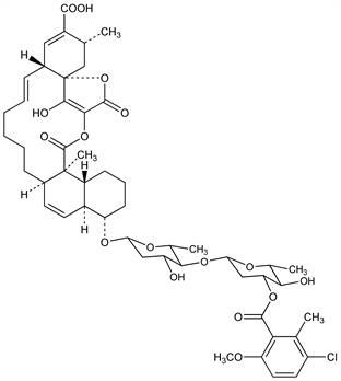
2169. Chlorothricin

Nomenclature

CAS number: 34707-92-1
C50H63ClO16; mol wt 955.48.
C 62.85%, H 6.65%, Cl 3.71%, O 26.79%.

Description and references

Macrolide antibiotic active against gram-positive bacteria. Isolated together with its dechloro analog from Tü 99, a strain of Streptomyces antibioticus: Keller-Schierlein et al., Helv. Chim. Acta 52, 127 (1969). Degradation products studies: Muntwyler et al., ibid. 53, 1544 (1970). Structure: Muntwyler, Keller-Schierlein, ibid. 55, 2071 (1972). Non-competitive inhibitor of pyruvate carboxylase: P. W. Schindler, H. Zaehner, Arch. Mikrobiol. 82, 66, (1972); P. W. Schindler, M. C. Scrutton, ibid. 55, 543 (1975). Biosynthetic studies: O. Mascaretti et al., J. Nat. Prod. 42, 455 (1979); eidem, Biochemistry 20, 919 (1981). Partial synthesis of the aglycone, chlorothricolide: R. E. Ireland, W. J. Thompson, J. Org. Chem. 44, 3041 (1979); R. E. Ireland et al., ibid. 46, 4863 (1981); W. R. Roush, S. E. Hall, J. Am. Chem. Soc. 103, 5200 (1981). Alternate synthetic approach: R. E. Ireland, M. D. Varney, J. Org. Chem. 51, 635 (1986). Review: Keller-Schierlein, Fortschr. Chem. Org. Naturst. 30, 394-396 (1973); H. G. Floss, C.-J. Chang, Antibiotics vol. IV, J. W. Corcoran, Ed. (Springer-Verlag, New York, 1981) pp 193-214.

Chemical structure

Properties

Colorless crystals from methylene chloride-methyl acetate, mp 206-207°. uv max (alc): 222, 260 nm (log ε 4.20, 3.81); (0.01N alc KOH): 221, 259 nm (log ε 4.09, 3.95). Dibasic acid; pK: 5.01, 7.91. (The above data applies to a 5:1 mixture with dechlorothricin, Muntwyler, Keller-Schierlein, loc. cit.). Slightly sol in water; readily sol in organic solvents of medium polarity.