2196. Cholanic Acid

Nomenclature

CAS number: 25312-65-6
Cholan-24-oic acid; ursocholanic acid; 17β-(1-methyl-3-carboxypropyl)etiocholane.
C24H40O2; mol wt 360.57.
C 79.94%, H 11.18%, O 8.87%.

Description and references

Steroidal acid probably formed by the dehydration and hydrogenation of certain bile acids commonly found in animals. Considered to be a chemical trademark certifying the prehistoric presence of some type of animal, see Seifert, Pure Appl. Chem. 34, 633 (1973). This status as a natural product of exclusive animal origins now questioned by its isolation from the embryo of the jequirity bean, Abrus precatorius, Leguminosae: Mandava et al., Steroids 23, 357 (1974). Prepn from coprostane, cholic acid, lithocholic acid, desoxy- and chenodesoxycholic acid: Wieland, Weil, Z. Physiol. Chem. 80, 287 (1912); Wieland, Boersch, ibid. 106, 193 (1919); Windaus, Neukirchen, Ber. 52, 1915 (1919); Wieland, Vocke, Z. Physiol. Chem. 191, 69 (1930). From 3-ketocholanic acid diethyl thioacetal by hydrogenolysis: Bernstein, Dorfman, US 2440660 (1948 to Am. Cyanamid). 5β-Cholanic acid differs from the thermodynamically more stable 5α-isomer, by being cis at the A/B steroid ring function rather than trans.

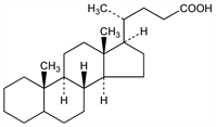
Chemical structure

Properties

Needles from alc, mp 163-164°. [α]D20 +21.7° (chloroform). Sol in chloroform, alcohol, acetic acid. Forms a molecular compd with allocholanic acid, mp 163.5°.

Derivative

Methyl ester.
C25H42O2; mol wt 374.60.
C 80.16%, H 11.30%, O 8.54%.

Properties

mp 86-87°.

Derivative

Ethyl ester.
C26H44O2; mol wt 388.63.
C 80.35%, H 11.41%, O 8.23%.

Properties

Needles from 80% alc, mp 93-94°; bp12 273°. [α]D19 +21° (chloroform).

Note

The name cholanic acid was formerly applied to desoxybilianic acid, C24H36O7.

Use

In chemotaxonomical classification.