2319. Citicoline

Nomenclature

CAS number: 987-78-0
Cytidine 5′-(trihydrogen diphosphate) P′-[2-(trimethylammonio)ethyl] ester inner salt; choline cytidine 5′-pyrophosphate (ester); cytidine diphosphate choline ester; CDP-choline; Difosfocin (Magis); Nicholin (Wyeth); Recognan (Asahi); Rexort (Hoechst); Somazina (Ferrer).
C14H26N4O11P2; mol wt 488.32.
C 34.43%, H 5.37%, N 11.47%, O 36.04%, P 12.69%.

Description and references

Naturally occurring nucleotide; intermediate in the major pathway of lecithin biosynthesis. Identification: E. P. Kennedy, S. B. Weiss, J. Am. Chem. Soc. 77, 250 (1955). Crystallization from yeast extract: I. Lieberman et al., Science 124, 81 (1956). Synthesis: E. P. Kennedy, J. Biol. Chem. 222, 185 (1956); K. Kikugawa et al., Chem. Pharm. Bull. 19, 1011, 2466 (1971). Molecular structure: M. A. Viswamitra et al., Nature 258, 497 (1975). Series of articles on pharmacology and toxicology: Arzneim.-Forsch. 33, 1009-1080 (1983). Acute toxicity: T. Grau et al., ibid. 1033. Clinical trial in ischemic stroke: W. M. Clark et al., Neurology 49, 671 (1997). Review of biosynthesis, metabolism, pharmacology: G. B. Weiss, Life Sci. 56, 637-660 (1995); and clinical experience: J. J. Secades, G. Frontera, Methods Find. Exp. Clin. Pharmacol. 17, Suppl. B, 1-54 (1995).

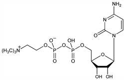
Chemical structure

Properties

Amorphous, somewhat hygroscopic powder. [α]D25 +19.0° (c = 0.86 in H2O). uv max (pH 1): 280 nm (ε 12800). Dissolves readily in water to form acidic soln. Practically insol in most organic solvents. pKa 4.4. LD50 in mice, rats (mg/kg): 4600 ±335, 4150 ±370 i.v.; both species 8 g/kg orally (Grau).

Derivative

Sodium salt.

Nomenclature

CAS number: 33818-15-4
Acticolin (Upsamedica); Brassel (Searle); Ceraxon (Ferrer); Neuroton (Berlin-Chemie); Sintoclar (Pulitzer).
C14H25N4NaO11P2; mol wt 510.31.
C 32.95%, H 4.94%, N 10.98%, Na 4.51%, O 34.49%, P 12.14%.

Properties

White, crystalline, spongy, hygrosopic powder, dec 250°. [α]D20 +12.5° (c = 1.0 in H2O). Sol in water. Practically insol in alcohol.

Therapeutic Category

Neuroprotective. In treatment of ischemic stroke and head trauma.

Keywords

Neuroprotective