2322. Citral

Nomenclature

CAS number: 5392-40-5
3,7-Dimethyl-2,6-octadienal.
C10H16O; mol wt 152.23.
C 78.90%, H 10.59%, O 10.51%.

Description and references

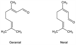
Constituent of many commercial oils such as lemon grass, verbena, lemon, and orange. Citral from natural sources is a 2:1 mixture of two geometric isomers geranial and neral. Isoln from lemongrass: F. W. Semmler, Ber. 23, 2965 (1890); F. D. Dodge, Am. Chem. J. 12, 553 (1890). Separation of isomers: Y. R. Naves, Bull. Soc. Chim. Fr. 1952, 521. IR determn in lemon and orange oils: P. L. Mahia et al., Food Chem. 46, 193 (1993). Stability in food emulsions and beverages: E. J. Freeburg et al., Perfum. Flavor. 19(4), 23 (1994). Review of toxicity: D. L. J. Opdyke, Food Cosmet. Toxicol. 17, 259-266 (1979); of reaction chemistry: R. K. Baslas, B. Gupta, Indian Perfum. 32, 266-272 (1988). Comprehensive reviews: J. L. Simonsen, The Terpenes vol. I, 83-100 (1947); P. Z. Bedoukian, Perfumery and Flavoring Synthetics (Allured Publishing Corporation, Wheaton, IL, 3rd ed., 1986) pp 106-117.

Chemical structure

Properties

Mobile pale yellow liquid having a strong lemon-like odor. d2525 0.885-0.891. nD20 1.4860-1.4900. Flash point: 99.5°C (208°F). LD50 orally in rats: 4.96 g/kg (Opdyke).

Derivative

Geranial.

Nomenclature

CAS number: 141-27-5
Trans-citral; citral a.

Properties

Light oily liquid with strong lemon odor. bp2.6 92-93°. d420 0.8888. nD20 1.4898. Practically insol in water. Miscible with alc, ether, benzyl benzoate, diethyl phthalate, glycerol, propylene glycol, mineral oil, essential oils.

Derivative

Neral.

Nomenclature

CAS number: 106-26-3
cis-Citral; citral b.

Properties

Light oily liquid with a lemon odor not as intense but sweeter than gerianal. bp2.6 91-92°. d420 0.8860. nD20 1.4869. Solubilities same as gerianal.

Use

In the synthesis of vitamin A, ionone and methylionone. As a flavor and in perfumery for its citrus effect.