2341. Clavulanic Acid

Nomenclature

CAS number: 58001-44-8
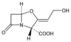
[2R-(2α,3Z,5α)]-3-(2-Hydroxyethylidene)-7-oxo-4-oxa-1-azabicyclo[3.2.0]heptane-2-carboxylic acid; MM 14151.
C8H9NO5; mol wt 199.16.
C 48.25%, H 4.55%, N 7.03%, O 40.17%.

Description and references

β-Lactamase inhibitor. Antibiotic produced by Streptomyces clavuligerus; first reported naturally occurring fused β-lactam containing oxygen. Isoln: M. Cole et al., DE 2517316 (1975 to Beecham), C.A. 84, 72635t (1976); A. G. Brown et al., J. Antibiot. 29, 668 (1976). Structure, x-ray crystallography: T. T. Howarth et al., Chem. Commun. 1976, 266. Total synthesis of (±)-form: P. H. Bentley et al., ibid. 1977, 748, 905; eidem, Tetrahedron Lett. 1979, 1889. β-Lactamase inhibition and antibacterial spectrum: C. Reading, M. Cole, Antimicrob. Agents Chemother. 11, 852 (1977). Mechanism of action: B. G. Spratt et al., ibid. 12, 406 (1977). Antibacterial activity, pharmacology and clinical efficacy of combination with amoxicillin: A. P. Ball et al., Lancet 1, 620 (1980); R. N. Brogden et al., Drugs 22, 337-362 (1981). In vitro and in vivo synergism with ticarcillin: R. Sutherland et al., Am. J. Med. 79, Suppl. 5B, 13 (1985).

Chemical structure

Derivative

Combination of potassium salt with amoxicillin trihydrate.

Nomenclature

Co-amoxiclav; Amoksiklav (Lek); Augmentin (SKB); Ciblor (Inava); Clavamox (Pfizer); Clavulin (SKB); Klavocin (Pliva); Neo-Duplamox (ISF); Synulox (Pfizer).

Derivative

Combination of potassium salt with ticarcillin disodium.

Nomenclature

CAS number: 116876-37-0
Betabactyl (SKB); Timentin (SKB).

Derivative

Methyl ester.
C9H11NO5; mol wt 213.19.
C 50.70%, H 5.20%, N 6.57%, O 37.52%.

Properties

Oil. [α]D22 +38°.

Derivative

p-Nitrobenzyl ester.
C15H14N2O7; mol wt 334.28.
C 53.90%, H 4.22%, N 8.38%, O 33.50%.

Properties

Monoclinic crystals, mp 117.5-118°.

Therapeutic Category

Combination with β-lactam antibiotics as antibacterial.

Therapeutic Category (Veterinary)

Combination with β-lactam antibiotics as antibacterial.

Keywords

Antibacterial Adjuncts; β-Lactamase Inhibitors