D. H. R. Barton et al., Tetrahedron 46, 7587 (1990).
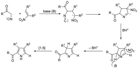
Formation of a pyrrole by condensation of a substituted nitroso-alkene with an isocyanoester:

Synthetic applications: T. D. Lash et al., Tetrahedron Lett. 35, 2493 (1994); idem. et al., ibid. 38, 2031 (1997); E. T. Pelkey et al., Chem. Commun. 1996, 1909.