2522. Coprogen

Nomenclature

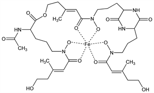
CAS number: 31418-71-0
C35H53FeN6O13; mol wt 821.67.
C 51.16%, H 6.50%, Fe 6.80%, N 10.23%, O 25.31%.

Description and references

Iron-contg, growth-promoting complex. Isoln from Penicillium spp: Hesseltine et al., J. Am. Chem. Soc. 74, 1362 (1952). Pidacks et al., ibid. 75, 6064 (1953); Gaeumann, Vischer, US 3297526 (1967 to Ciba). Isoln from Aspergillaceae: Zaehner et al., Arch. Mikrobiol. 45, 119 (1963). Structure: Keller-Schierlein, Diekmann, Helv. Chim. Acta 53, 2035 (1970).

Chemical structure

Properties

Clusters of brick-red needles from ethanol. Absorption max (ethanol): 217, 250, 440 nm (log ε 4.46, 4.22, 3.47). Sol in water, methanol, ethanol (amorphous coprogen only), propanol, benzyl alcohol, Cellosolves. Practically insol in ether, ethyl acetate, chloroform, benzene, Cellosolve esters.

Derivative

Desferricoprogen.

Properties

Iron-free coprogen, may be obtained by treating an aq solution with 8-quinolinol yielding a light brown powder.

Use

Coprogen as growth-promoting agent in various organisms. Desferricoprogen to bring about excretion of iron.