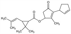
2706. Cyclethrin

Nomenclature

CAS number: 97-11-0
2,2-Dimethyl-3-(2-methyl-1-propenyl)cyclopropanecarboxylic acid 3-(2-cyclopenten-1-yl)-2-methyl-4-oxo-2-cyclopenten-1-yl ester; 3-(2-cyclopentenyl)-2-methyl-4-oxo-2-cyclopentenyl ester of chrysanthemummonocarboxylic acid; chrysanthemummonocarboxylic acid ester with 3-(2-cyclopenten-1-yl)-2-methyl-4-oxo-2-cyclopenten-1-ol.
C21H28O3; mol wt 328.45.
C 76.79%, H 8.59%, O 14.61%.

Description and references

Prepn and insecticidal activity: H. L. Haynes et al., Contrib. Boyce Thompson Inst. 18, 1 (1954); H. R. Guest, H. A. Stansbury, US 2891888 (1959 to Union Carbide). Product is a mixture of isomers including four racemic forms or eight optical and geometric isomers which have not yet been isolated and evaluated. Toxicology: C. P. Carpenter et al., Arch. Ind. Hyg. Occup. Med. 10, 162 (1954).

Chemical structure

Properties

Liquid. nD30 1.5120. d2020 1.033. LD50 orally in rats: 1.4-2.8 g/kg (Carpenter).

Use

Insecticide for flies, roaches, and grain pests.