2828. Darvan(R) (Celanese)

Nomenclature

CAS number: 9003-24-1
Vinylidene cyanide-vinyl acetate copolymer; Darlan; Travis.

Description and references

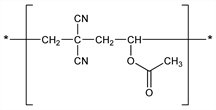
Methylenemalononitrile copolymer with vinyl acetate contg about equal parts of each component. Polymerization of vinylidene cyanide with vinyl acetate: Gilbert et al., J. Am. Chem. Soc. 78, 1669 (1956); Gilbert, Miller, US 2615866 and Sayre, US 2975158 (1952, 1961, both to B. F. Goodrich). Review: R. W. Moncrieff, Man-Made Fibres (John Wiley, New York, 4th ed., 1963) pp 488-494. Approximate structure:

Chemical structure

Properties

A wool-like fiber, sp gr 1.18. Softens at about 175°. Flammability similar to cotton and viscose. Insol in acetone, methylene chloride. Good resistance to sunlight, clothes-moth and carpet-beetle attack, and mildew; moderate resistance to 10% H2SO4 at 100° for hrs, and to 0.5% caustic soda at 43° for 7 days. Shrinks about 1% when immersed in boiling water for 3 minutes. Difficult to dye. Relatively resistant to pilling.

Use

Knitted garments, pile coats, and in blends for tropical suitings and men's shirtings.