2935. Destomycin A

Nomenclature

CAS number: 14918-35-5
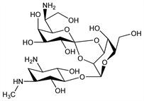
O-6-Amino-6-deoxy-l-glycero-d-galacto-heptopyranosylidene-(1→2-3)-O-β-d-talopyranosyl-(1→5)-2-deoxy-N1-methyl-d-streptamine; 5-O-[2,3-O-[6-(1-amino-2-hydroxyethyl)tetrahydro-3,4,5-trihydroxy-2H-pyran-2-ylidene]-β-d-talopyranosyl]-2-deoxy-N3-methyl-d-streptamine; Destonate (Meiji).
C20H37N3O13; mol wt 527.52.
C 45.54%, H 7.07%, N 7.97%, O 39.43%.

Description and references

Aminoglycoside antibiotic, member of the orthosomycin family. Destomycins A, B and C are known; A is the major component. Isoln of A and B from culture broth of Streptomyces rimofaciens: S.-I. Kondo et al., J. Antibiot. 18A, 38 (1965); of C: eidem, ibid. 28, 83 (1975). Prepn: eidem, JP 67 7598 (1967 to Meiji Seika Kaisha). Structure of A: eidem, J. Antibiot. 19A, 139 (1966); of A and B: eidem, ibid. 28, 79 (1975). Stereochemical study: S. Horito et al., Bull. Chem. Soc. Jpn. 54, 2147 (1981). Synthesis of destomycin C: J. Yoshimura et al., Chem. Lett. 1985, 1335; J.-I. Tamura et al., Carbohydr. Res. 174, 181 (1988). Anthelmintic activity in poultry: I. Sawada, Kiseichugaku Zasshi 21, 45 (1972), C.A. 77, 135668j (1972). HPLC determn in pork samples: K. Nakaya et al., Shokuhin Eiseigaku Zasshi 28, 487 (1987), C.A. 109, 5359c (1988).

Chemical structure

Properties

White powder, mp 180-190° (dec). [α]D22 +7° (c = 2). Freely sol in water, lower alcohols. Insol or poorly sol in most organic solvents. LD50 in mice (after 2-week observation) (mg/kg): 5-10 i.v.; 50-100 orally (Kondo, 1965).

Therapeutic Category (Veterinary)

Broad spectrum antimicrobial; anthelmintic.